Welcome to the Mathematics OER Smart Library! Our library offers a diverse range of materials—including videos, infographics, games, presentations, animations, and more—covering topics such as algebra, calculus, geometry, statistics, and probability. These resources are available in seven languages: English, Estonian, German, Portuguese, Romanian, Catalan, and Spanish. Additionally, our library includes materials accessible to visually impaired and color-blind individuals. These resources are designed to support educators, students, and researchers in secondary, vocational, and higher education institutions.
Random OERs:
Total number of OERs published so far:
3621To explore and utilize these materials, navigate through our categorized sections or use the search function to find specific OERs of interest.
Mètodes de raonament i demostració. Breu ressenya històrica.
Authors
Educational level
Higher Education
Level
medium
Description
Breu ressenya històrica sobre mètodes de demostració en matemàtiques. Adjunta arxiu pdf i l’arxiu latex original.
Aquest recurs és part del llibre
Estela, M.R. “Fonaments de Càlcul per a l’Enginyeria” Edicions UPC 2008, de lliure accés a https://portal.camins.upc.edu/materials_guia/250105/2020/Fonaments%20de%20calcul%20per%20a%20l’enginyeria.pdf
Licence
CC-BY
Type
Other
Category
Logic
Keywords
Demostracions, Història, Inducció
Tags
UPC, Gate2Math
File
UPC-129-DCM-CA.zip
Mètodes de raonament i demostració. Proposicions i implicacions.
Authors
Educational level
Higher Education
Level
medium
Description
Breu informació sobre mètodes de demostració en matemàtiques. Proposicions i implicacions. Adjunta arxiu pdf i l’arxiu latex original.
Aquest recurs és part del llibre
Estela, M.R. “Fonaments de Càlcul per a l’Enginyeria” Edicions UPC 2008, de lliure accés a https://portal.camins.upc.edu/materials_guia/250105/2020/Fonaments%20de%20calcul%20per%20a%20l’enginyeria.pdf
Licence
CC-BY
Type
Other
Category
Logic – Propositional logic
Keywords
Demostracions, Proposicions, Implicacions, Lleis de Morgan
Tags
UPC, Gate2Math
File
UPC-130-DCM-CA.zip
Mètodes de raonament i demostració. Demostracions per contraexemple.
Authors
Educational level
Higher Education
Level
medium
Description
Demostracions matemàtiques per contraexemple. Adjunta arxiu pdf i l’arxiu latex original.
Aquest recurs és part del llibre
Estela, M.R. “Fonaments de Càlcul per a l’Enginyeria” Edicions UPC 2008, de lliure accés a https://portal.camins.upc.edu/materials_guia/250105/2020/Fonaments%20de%20calcul%20per%20a%20l’enginyeria.pdf
Licence
CC-BY
Type
Other
Category
Logic
Keywords
Demostracions, Contraexemple
Tags
UPC, Gate2Math
File
UPC-131-DCM-CA.zip
Mètodes de raonament i demostració. Demostracions directes.
Authors
Educational level
Higher Education
Level
medium
Description
Demostracions directes en matemàtiques. Adjunta arxiu pdf i l’arxiu latex original.
Aquest recurs és part del llibre
Estela, M.R. “Fonaments de Càlcul per a l’Enginyeria” Edicions UPC 2008, de lliure accés a https://portal.camins.upc.edu/materials_guia/250105/2020/Fonaments%20de%20calcul%20per%20a%20l’enginyeria.pdf
Licence
CC-BY
Type
Other
Category
Logic
Keywords
Demostracions, Directe
Tags
UPC, Gate2Math
File
UPC-132-DCM-CA.zip
Mètodes de raonament i demostració. Demostracions indirectes.
Authors
Educational level
Higher Education
Level
medium
Description
Demostracions indirectes en matemàtiques. Demostració pel contrarecíproc. Demostració per reducció a l’absurd. Adjunta arxiu pdf i l’arxiu latex original.
Aquest recurs és part del llibre
Estela, M.R. “Fonaments de Càlcul per a l’Enginyeria” Edicions UPC 2008, de lliure accés a https://portal.camins.upc.edu/materials_guia/250105/2020/Fonaments%20de%20calcul%20per%20a%20l’enginyeria.pdf
Licence
CC-BY
Type
Other
Category
Logic
Keywords
Demostracions, Indirecte, contrarecíproc, reducció a l‘absurd
Tags
UPC, Gate2Math
File
UPC-133-DCM-CA.zip
Mètodes de raonament i demostració. Demostració per inducció.
Authors
Educational level
Higher Education
Level
medium
Description
Demostració per inducció. Adjunta arxiu pdf i l’arxiu latex original. Aquest recurs és part del llibre
Estela, M.R. “Fonaments de Càlcul per a l’Enginyeria” Edicions UPC 2008, de lliure accés a https://portal.camins.upc.edu/materials_guia/250105/2020/Fonaments%20de%20calcul%20per%20a%20l’enginyeria.pdf
Licence
CC-BY
Type
Other
Category
Logic
Keywords
Demostracions, Inducció
Tags
UPC, Gate2Math
File
UPC-134-DCM-CA.zip
Mètodes de raonament i demostració. Igualtat entre conjunts. Igualtat de funcions.
Authors
Educational level
Higher Education
Level
medium
Description
Demostració de igualtat entre conjunts i igualtat de funcions. Adjunta arxiu pdf i l’arxiu latex original.
Aquest recurs és part del llibre
Estela, M.R.“Fonaments de Càlcul per a l’Enginyeria” Edicions UPC 2008, de lliure accés a https://portal.camins.upc.edu/materials_guia/250105/2020/Fonaments%20de%20calcul%20per%20a%20l’enginyeria.pdf
Licence
CC-BY
Type
Other
Category
Logic
Keywords
Demostracions, Igualtat conjunts. Igualtat funcions
Tags
UPC, Gate2Math
File
UPC-135-DCM-CA.zip
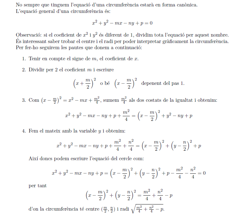
Mètode per a centrar una circumferència
Authors
Educational level
Higher Education
Level
medium
Description
Mètode per a centrar una circumferència. Aquest recurs és part del llibre
Estela, M.R. “Fonaments de Càlcul per a l’Enginyeria” Edicions UPC 2008, de lliure accés a https://portal.camins.upc.edu/materials_guia/250105/2020/Fonaments%20de%20calcul%20per%20a%20l’enginyeria.pdf
Licence
CC-BY
Type
Other
Category
Linear Geometry – Conics and quadrics
Keywords
Circumferència, centre, radi
Tags
UPC, Gate2Math
File
UPC-136-DCM-CA.docx
Polígons i Gaudí
Authors
Educational level
Secondary School, Higher Education
Level
easy
Description
Petita relació entre polígons i Antoni Gaudí i classificació dels polígons segons el nombre de costats.
Aquest recurs és part del llibre
Estela, M.R. “Fonaments de Càlcul per a l’Enginyeria” Edicions UPC 2008, de lliure accés a https://portal.camins.upc.edu/materials_guia/250105/2020/Fonaments%20de%20calcul%20per%20a%20l’enginyeria.pdf
Licence
CC-BY
Type
Cheat Sheets
Category
High-school fundamentals – Geometry
Keywords
Polígons, Gaudí
Tags
UPC, Gate2Math
File
UPC-137-DCM-CA.pdf
Divisió de polinomis
Authors
Educational level
Secondary School, Higher Education
Level
easy
Description
Exemple de divisió de polinomis.
Aquest recurs és part del llibre
Estela, M.R. “Fonaments de Càlcul per a l’Enginyeria” Edicions UPC 2008, de lliure accés a https://portal.camins.upc.edu/materials_guia/250105/2020/Fonaments%20de%20calcul%20per%20a%20l’enginyeria.pdf
Licence
CC-BY
Type
Excercises
Category
High-school fundamentals – Polynomials
Keywords
Polinomis, Divisió
Tags
UPC, Gate2Math
File
UPC-138-EXE-CA.docx









