Welcome to the Mathematics OER Smart Library! Our library offers a diverse range of materials—including videos, infographics, games, presentations, animations, and more—covering topics such as algebra, calculus, geometry, statistics, and probability. These resources are available in seven languages: English, Estonian, German, Portuguese, Romanian, Catalan, and Spanish. Additionally, our library includes materials accessible to visually impaired and color-blind individuals. These resources are designed to support educators, students, and researchers in secondary, vocational, and higher education institutions.
Random OERs:
Total number of OERs published so far:
3621To explore and utilize these materials, navigate through our categorized sections or use the search function to find specific OERs of interest.
10.8 A^k=0, Nilpotent (STACK) (1)
Authors
Educational level
Higher Education
Level
medium
Description
Group of Questions for Moodle on Matrices – Introduction, XML format
– ALL questions have feedback with STEP-by-STEP resolution. Note: It requires a Moodle platform to be inserted into the question bank and, eventually, a specific plugin/software may be necessary for its operation.
Licence
CC-BY
Type
Quiz/Knowledge Control
Category
Linear algebra – Matrix calculus
Keywords
Power of a Matrix, Square Matrix, Multiplication, Nilpotent
Tags
EngiMath, Gate2Math
File
ENG-150-XML-EN.zip
10.9 A^2=n*I (STACK, 2×2) (1)
Authors
Educational level
Higher Education
Level
medium
Description
Group of Questions for Moodle on Matrices – Introduction, XML format
– ALL questions have feedback with STEP-by-STEP resolution. Note: It requires a Moodle platform to be inserted into the question bank and, eventually, a specific plugin/software may be necessary for its operation.
Licence
CC-BY
Type
Quiz/Knowledge Control
Category
Linear algebra – Matrix calculus
Keywords
Power of a Matrix, Square Matrix, Multiplication
Tags
EngiMath, Gate2Math
File
ENG-151-XML-EN.zip
10.10 A^3=nA (STACK, 2×2) (2)
Authors
Educational level
Higher Education
Level
medium
Description
Group of Questions for Moodle on Matrices – Introduction, XML format
– ALL questions have feedback with STEP-by-STEP resolution. Note: It requires a Moodle platform to be inserted into the question bank and, eventually, a specific plugin/software may be necessary for its operation.
Licence
CC-BY
Type
Quiz/Knowledge Control
Category
Linear algebra – Matrix calculus
Keywords
Power of a Matrix, Square Matrix, Multiplication
Tags
EngiMath, Gate2Math
File
ENG-152-XML-EN.zip
Desafio Lógico – Jornais
Authors
Ana Paula Lopes, Filomena Soares
Educational level
Secondary School, Higher Education
Level
easy
Description
Um desafio lógico para treinar o raciocínio!
Esperamos que gostem!
Nota: Requer plug-in/software específico para ser utilizado/visualizado
Licence
CC-BY
Type
Game/Online Exercise
Category
Logic
Keywords
Desafio, Lógica, Raciocínio
Tags
IPP, P.PORTO, Gate2Math
File
IPP-001-H5P-PT.h5p
Desafio Lógico – Tráfego no quarteirão Gate2Math
Authors
Ana Paula Lopes, Filomena Soares
Educational level
Secondary School, Higher Education
Level
easy
Description
Um desafio lógico para treinar o raciocínio e a resoulução de sistemas de equações!
Esperamos que gostem!
Nota: Requer plug-in/software específico para ser utilizado/visualizado
Licence
CC-BY
Type
Game/Online Exercise
Category
Logic
Keywords
Desafio, Lógica, Raciocínio, Sistemas de equações
Tags
IPP, P.PORTO, Gate2Math
File
IPP-002-H5P-PT.h5p
Desafio Lógico – Salários
Authors
Ana Paula Lopes, Filomena Soares
Educational level
Secondary School, Higher Education
Level
easy
Description
Um desafio lógico para treinar o raciocínio!
Esperamos que gostem!
Nota: Requer plug-in/software específico para ser utilizado/visualizado
Licence
CC-BY
Type
Game/Online Exercise
Category
Logic
Keywords
Desafio, Lógica, Raciocínio
Tags
IPP, P.PORTO, Gate2Math
File
IPP-003-H5P-PT.h5p
Desafio Lógico – Criptografia
Authors
Ana Paula Lopes, Filomena Soares
Educational level
Secondary School, Higher Education
Level
easy
Description
Um desafio lógico para treinar o raciocínio e operações com matrizes!
Esperamos que gostem!
Nota: Requer plug-in/software específico para ser utilizado/visualizado
Licence
CC-BY
Type
Game/Online Exercise
Category
Logic
Keywords
Desafio, Lógica, Raciocínio, Inversa de uma matriz
Tags
IPP, P.PORTO, Gate2Math
File
IPP-004-H5P-PT.h5p
Desafio Lógico – Galinhas na Autoestrada
Authors
Ana Paula Lopes, Filomena Soares
Educational level
Secondary School, Higher Education
Level
easy
Description
Um desafio lógico para treinar o raciocínio e resolução de sistemas!
Esperamos que gostem!
Nota: Requer plug-in/software específico para ser utilizado/visualizado
Licence
CC-BY
Type
Game/Online Exercise
Category
Logic
Keywords
Desafio, Lógica, Raciocínio, Sistemas de equações
Tags
IPP, P.PORTO, Gate2Math
File
IPP-005-H5P-PT.h5p
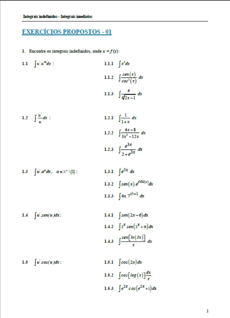
Integrais Indefinidos – Aplicação de regras imediatas
Authors
Ana Paula Lopes, Filomena Soares
Educational level
Secondary School, Higher Education
Level
easy
Description
Exercícios práticos sobre primitivas de funções de uma variável real – integrais imediatos
Licence
CC-BY
Type
Worksheet
Category
One variable calculus – Integration
Keywords
Integrais Indefinidos, Antiderivadas, Imediatos
Tags
IPP, P.PORTO, Gate2Math
File
IPP-006-DCM-PT.pdf
Desafio Lógico – Médias
Authors
Ana Paula Lopes, Filomena Soares
Educational level
Secondary School, Higher Education
Level
easy
Description
3 pequenas questões sobre médias com soluções propostas.
Esperamos que gostem!
Licence
CC-BY
Type
Game/Online Exercise
Category
Statistics
Keywords
Lógica, Média Aritmética, Média Geométrica
Tags
IPP, P.PORTO, Gate2Math
File
IPP-007-PRE-PT.pptx









