Welcome to the Mathematics OER Smart Library! Our library offers a diverse range of materials—including videos, infographics, games, presentations, animations, and more—covering topics such as algebra, calculus, geometry, statistics, and probability. These resources are available in seven languages: English, Estonian, German, Portuguese, Romanian, Catalan, and Spanish. Additionally, our library includes materials accessible to visually impaired and color-blind individuals. These resources are designed to support educators, students, and researchers in secondary, vocational, and higher education institutions.
Random OERs:
Total number of OERs published so far:
3621To explore and utilize these materials, navigate through our categorized sections or use the search function to find specific OERs of interest.
Evaluación_Lección 16: Determinantes – Menores y Cofactores (0)
Authors
Educational level
Higher Education
Level
medium
Description
3 Grupos de Preguntas para Moodle sobre Determinantes – Menores y Cofactores – Preguntas con 3 niveles de dificultad con el objetivo de Evaluar – sin retroalimentación. Nota: Requiere que se inserte el banco de preguntas en una plataforma Moodle y, eventualmente, se puede requerir un plugin/software específico para su funcionamiento.
Licence
CC-BY
Type
Quiz/Knowledge Control
Category
Linear algebra – Matrix calculus
Keywords
Menores elementales, cofactores, complementos algebraicos
Tags
EngiMath, UPC, Gate2Math
File
ENG-916-XML-ES.zip
Täisarvud
Authors
Educational level
Secondary School
Level
medium
Description
Täisarvude mõiste, vastandarvud, hulkade tähised ning näited kuuluvuse ja mittekuuluvuse kohta. Sobib kasutada täisarvude tutvustamiseks.
Licence
CC-BY
Type
Tutorial
Category
High-school fundamentals
Keywords
täisarvud, naturaalarvud, vastandarv, arvsirge, hulkade tähised, positiivsed täisarvud, negatiivsed täisarvud, kuuluvus
Tags
TTK, Gate2Math
File
TTK-453-TUT-ET.h5p
Imaginaararvud: kuidas see kõik algas?
Authors
Elena Safiulina, Oksana Labanova
Educational level
Higher Education
Level
easy
Description
Ressurss selgitab ruutvõrrandi näitel, miks tuli imaginaararvud välja mõelda, ning toetab kompleksarvude teema omandamist.
Licence
CC-BY
Type
Tutorial
Category
High-school fundamentals – Complex numbers
Keywords
kompleksarvud
Tags
Gate2Math, TTK
File
TTK-001-TUT-ET.h5p
Kompleksarvud algebralisel kujul
Authors
Elena Safiulina, Oksana Labanova
Educational level
Higher Education
Level
easy
Description
See interaktiivne ressurs esitab kompleksarve. Õpetajad saavad selle avatud õppematerjali oma õppematerjalidesse integreerida, et parandada õpilaste arusaamist kompleksarvudest.
Licence
CC-BY
Type
Tutorial
Category
High-school fundamentals – Complex numbers
Keywords
reaalosa, imaginaarosa
Tags
Gate2Math, TTK
File
TTK-002-IMG-ET.h5p
Kompleksarvu komponendid
Authors
Elena Safiulina, Oksana Labanova
Educational level
Higher Education
Level
easy
Description
Kompleksarvude reaalse ja imaginaarse osa test. Test sisaldab juhuslikke küsimusi koos tagasisidega õpilastele, pakkudes mitmekesist hindamiskogemust, mis sobib õpilaste arusaama rangeks hindamiseks kompleksarvude reaalsest ja imaginaarsest osast.
Licence
CC-BY
Type
Tutorial
Category
High-school fundamentals – Complex numbers
Keywords
kompleksarvud, reaalosa, imaginaarosa
Tags
Gate2Math, TTK
File
TTK-003-EXE-ET.h5p
Imaginaararvud
Authors
Elena Safiulina, Oksana Labanova
Educational level
Higher Education
Level
easy
Description
See interaktiivne infograafik esitleb imaginaararve. Õpetajad saavad selle avatud õppematerjali integreerida oma õppematerjalidesse, et parandada õpilaste arusaamist imaginaararvudest.
Licence
CC-BY
Type
Tutorial
Category
High-school fundamentals – Complex numbers
Keywords
nulline reaalosa
Tags
Gate2Math, TTK
File
TTK-004-TUT-ET.h5p
Võrdsed kompleksarvud
Authors
Elena Safiulina, Oksana Labanova
Educational level
Higher Education
Level
easy
Description
See avatud õppematerjal selgitab tingimusi, mille korral kaks kompleksarvu on võrdsed. See sisaldab näiteid ja interaktiivseid harjutusi, mis aitavad õpilastel neid tingimusi tuvastada.
Licence
CC-BY
Type
Tutorial
Category
High-school fundamentals – Complex numbers
Keywords
reaalosa, imaginaarosa
Tags
Gate2Math, TTK
File
TTK-005-TUT-ET.h5p
Jagavuse tunnused
Authors
Educational level
Secondary School
Level
medium
Description
Olulisemad jaguvustunnused koos selgituste ja näidetega. Sobib kasutada jaguvuse reeglite õppimisel ning üldkuju ja jäägi mõistete kinnistamisel.
Licence
CC-BY
Type
Tutorial
Category
High-school fundamentals
Keywords
jaguvustunnused, jaguvuse reeglid, ristsumma, jääk.
Tags
Gate2Math, TTK
File
TTK-454-TUT-ET.h5p
Jagavuse tõestus
Authors
Educational level
Secondary School
Level
medium
Description
Paaris- ja paaritute arvude omaduste tõestused üldkujul.
Licence
CC-BY
Type
Excercises
Category
High-school fundamentals
Keywords
jaguvustunnused, tõestamine, paarisarv, paaritu arv
Tags
Gate2Math, TTK
File
TTK-455-EXE-ET.h5p
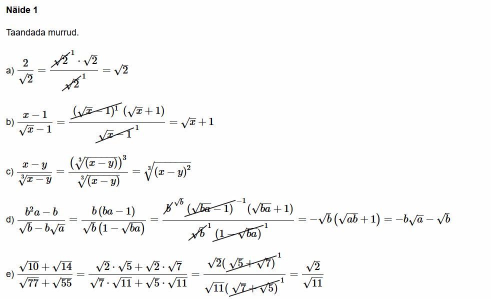
Irratsionaalse algebralise murru taandamine
Authors
Educational level
Level
medium
Description
Irratsionaalsete algebraliste murrude taandamine: tegurdamine, ühiste tegurite eemaldamine ja konjugeerpaariga nimetaja juurtest vabastamine; lühinäited ja harjutusülesanded.
Licence
CC-BY
Type
Tutorial
Category
High-school fundamentals
Keywords
irratsionaalne murd, algebraline murd, taandamine, tegurdamin
Tags
Gate2Math, TTK
File
TTK-456-TUT-ET.h5p









